任天成:10.19黄金破位1953一线将试探1985 原油震荡继续冲高
发布时间:2023-10-19 12:13:06
昨日价格开盘从1942回撤1935一线,之后整个白盘维持在1935-1939区间震荡;晚间价格突破1939并破位白盘高点1942直接拉升至1962一线;价格回撤至1938一线再次反弹上涨至1956.5一线回落震荡于1946-1952。
从昨日走势看:1938-42肯定是当前的支撑点,短期防守是1935;而我们昨日给出的多单1928-31一线同样是今日的第二道防守位。而昨日高点1962是短期压制;同时昨晚分析的1972和1980也上方法两个较强的压制点。

行情解析:
日线当前macd金叉放量运行,灵动指标sto超买徘徊代表价格的高位震荡;而均线MA5上移形成支撑1934一线;
4小时当前macd高位金叉缩量粘合,灵动指标sto快速向下修复,同样代表价格的高位震荡。短期关注抛物转向点和均线MA10粘合支撑1942.5一线。
小时线布林带三轨缩口,代表价格的震荡。短期区间1958-1940以及1930一线。

策略:
【1】 回撤1941-43附近多,损1935,目标看1948-1955破位1962看1970-80
【2】 回撤1929-31附近多,损1924,目标看1940-1950
【3】 亚欧盘给机会的话1956-58可以空一次,损1963,目标看1949-1944
-----------------------------------------------------------------------------
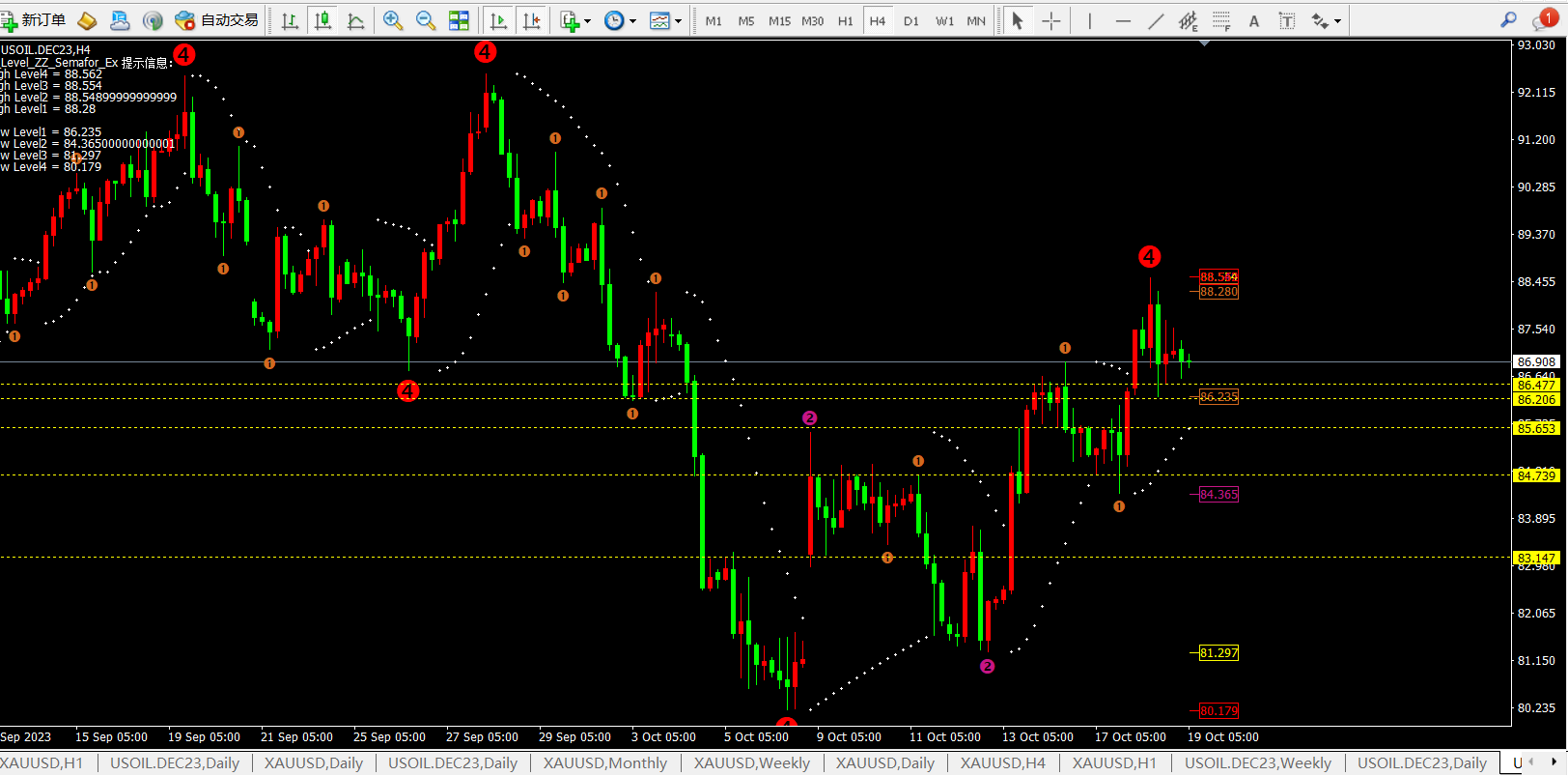
油昨日开盘从86.3-4震荡上行87.78一线后再次回落至86.8一线上涨至日内高点88.54一线;之后价格震荡回落至日内低点86.23一线反弹震荡87.7附近。而我们昨日高位88.7-8和低位85.8-86多单都相差0.2美金左右进场比较可惜。
而从昨日走势看短期86.2-4就是当前的支撑点。
日线当前macd金叉初建,灵动指标sto超买运行,代表日线还是震荡偏强。短期关注昨日高点88.5的压制,下方关注86-86.4的支撑。

4小时目前macd高位金叉缩量粘合,灵动指标sto快速向下修复,代表目前4小时震荡走势。而4小时目前中轨支撑86.3一线,其次是下方均线MA30支撑85.4-6一线,不过随着时间推移该均线也将上移。其次是均线MA60支撑84.1附近以及下轨84.7一线。
小时线当前也是维持震荡走势,短期小时线支撑86.2-86.5一线。

思路:日内价格不跌破85.7一线,将直接进行拉升;如果跌破将肯定再次到达84.7附近。
策略:
【1】86.3-4附近多,损85.4,目标看87-88-89-90-92一线
【2】二次多在84.7-85一线,止损83.9,目标上看不变。
【3】日内首次空暂定89.8-90一线,防守91,目标看89-88


