任天成:11.9黄金下跌走势未完成继续走弱 原油快要见底开始布局
发布时间:2023-11-09 12:56:35
黄金昨日开盘从1967震荡上行至1971附近开始回落至1965一线;欧盘时段价格再次下跌至1959一线反弹震荡至1965-66一线;美盘时段价格跌破1959至1950一线反弹1958附近再次下跌破低点至1947一线,早间价格再度反弹至1954.5附近。日线再次以大阴柱下跌。
从昨日走势看:短期1864-66是当前阻力点,其次是1958-59附近。

行情解析:
① 日线再次大阴下跌,代表日线下跌并没有走完,所以日内依旧是弱势下行。而当前下方支撑在均线MA30和下轨以及ma60附近1927-1921.7一线。上方压制位于中轨和均线MA5附近对应1967-68一线。日线指标macd高位死叉放量,灵动指标sto勾头向下也说明价格的弱势。
② 4小时当前macd死叉放量震荡,灵动指标sto勾头向下进入超卖区域,代表4小时属于震荡偏弱走势,而目前阻力位于1956-1960一线。

③ 小时线当前macd死叉缩量粘合,灵动指标sto快速向下修复,代表小时线的低位震荡。
策略:
【1】 日内1960-62附近空,激进1956-58空,防守1967,目标看1946-1936极限1927-30附近。
【2】 下方1930-32多,损1922,目标看1940-1946
【3】 持有昨日1965-66空单提示1955减仓看1946-1932
-----------------------------------------------------------------------
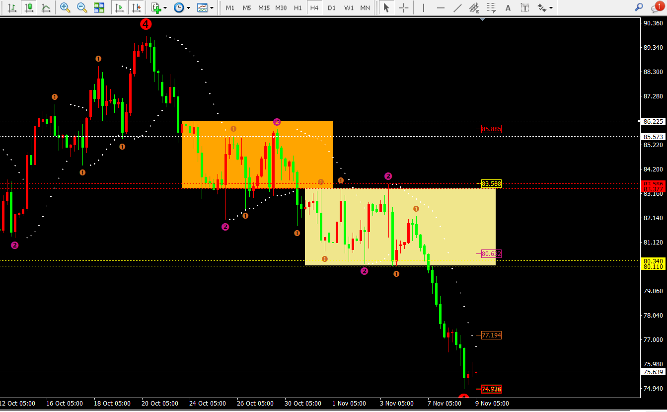
原油昨日开盘从76.9一线反弹震荡至77.5进行二次下跌至75.9一线;之后价格反弹再次上涨至77.2一线回撤并破低点至74.9附近反弹至目前的76一线。
从昨日走势看77-77.2是当前阻力位,其次是76.5附近。

行情解析:
① 日线指标macd死叉放量运行,灵动指标sto勾头向下修复,代表日线还是弱势下行趋势。目前关注74.6-75一线的支撑,其次是73.7一线支撑。
② 4小时macd死叉低位缩量震荡,灵动指标sto双线粘合震荡。代表4小时还是低位震荡。虽然4小时已经进入相对低位,但是日线的下跌趋势还未走完,所以短期还是低位震荡,反弹可能会等到明日或者下周。目前4小时压制在76.5-6一线。
③ 小时线当前macd低位金叉放量震荡,灵动指标sto快速向下修复,代表小时线的震荡,目前关注74.9一线的支撑。

思路:从日线的近期表现看前期反弹一直在85.5-7受阻,之后价格下跌反弹在83.3-5受阻,而之后下跌价格在80.3附近得到支撑,下破80.3后再也没有反弹。所以当前80.2-3就是当前多空分水岭位置。4小时级别表现的非常明显。
策略:
【1】76.4-6附近空,损77.5,目标看看75-74
【2】73.9-74.2附近开始布局多单,损73,目标看77-80站稳可持有(极限72.7-8,73附近可在布局一次)
【3】短期关注74.8-75一线,如果欧盘时段还未下跌下去,可能75附近就要多进行布局,实时点位盘中给与】
