美联储最新“点阵图”暗示今年或只有1次降息 明后两年各降100基点
发布时间:2024-06-13 03:37:00
北京时间周四凌晨2点,美联储联邦公开市场委员会(FOMC)发布6月货币政策决议,以及今年第二份经济预期。
与市场预期一致,联邦基金利率区间继续维持在5.25%-5.50%,自去年7月底加息至这个位置后一直都没有变化。
(来源:美联储)从经过严格审核的决议文本来看,相较于5月初,6月利率决议可以说只有一处实质性的改动:美联储联邦公开市场委员会认为,近几个月来通胀下降至2%政策目标的进度从“缺乏进一步进展”,变成了“小幅度的进一步进展”。
另一处变化与美联储在5月决议中调整“缩表”政策(每月美国国债减持上限从600亿美元降至250亿美元)有关,在6月决议中并没有做出进一步调整,仅提到会继续缩减债券持仓。
(来源:美联储、财联社)今年降息预期明显缩水
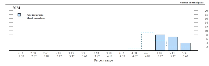
相较于政策利率,今天股民们原本就更加关注“点阵图”的变化。
在刚刚发布的6月“点阵图”中,委员们把今年降息次数的中位数预期从3月时的3次降到了只有1次。更确切地说,有11名官员认为今年最多只降息1次,剩下8人预期降息两次,所以“降息两次”依然还有不小的概率。

(来源:美联储经济预期)相较幅度更重要的是趋势。今年3月时,尚有10名美联储官员认为今年可能会降息至少3次(其中有一人支持降息4次),到了6月这些人全部改变主意,最多只支持今年降息两次。同时支持今年不降息的委员数量从2人提高至4人,支持仅降息一次的委员数量从2人提高至7人。
(来源:美联储经济预期)随着预期今年降息次数减少,委员们也同步抬高了之后的政策利率路径预期。他们对2025年底政策利率的中位数预期为从3.9%抬高至4.1%,同时将长期政策利率的中位数预期从2.6%提高至2.8%,这也意味着美联储更加认可“中性利率”(既不限制也不刺激经济的利率)正在抬高的现实。
与此同时,美联储依然预期美国的政策利率能在2026年降至3%-3.25%区间。换一个角度来解释,就是美联储官员们虽然压缩了今年的降息预期,但多数委员预期明年和后年降息的幅度都将达到100个基点。
通胀预期同步走高
在降息路径放缓的同时,美联储官员们也认为今明两年降通胀的步伐会稍稍放缓,但慢得并不多。
6月经济预期的中位数统计显示,美联储委员们将2024年的核心PCE通胀预期从2.6%上调至2.8%,同时将明年的预期从2.2%上调至2.3%,不过他们并没有改变2026年达到2%政策目标的预期。
(来源:美联储经济预期)美联储委员们同时稍稍调高了对未来两年美国失业率的预期,对美国GDP增速的预期则没有做出调整。
(文章来源:财联社)
